Results - Comparison over time

On this page, you can compare test results of the same test person over time at different times of measurement. Confidence intervals are based on test reliability (see also Results - Comparison of persons).

You have to select one person in “Settings and information” with two test sessions in order for data to be displayed.

image-20260310-104319.png

When pressing “Display norm-referenced score differences (RCI)”, you are redirected to a page where you can look at the respective differences of the values viewed in the previous page. Calculations are described below.

image-20260310-104636.png

Calculation of the Reliable Change Index (RCI)

The Reliable Change Index is used to determine whether the change in a person’s test score between two test sessions exceeds what would be expected based on measurement error:

image-20260310-132737.png

where

  • Z1​ = standardized score (z-score) at time point 1

  • Z2​ = standardized score (z-score) at time point 2

  • SEM1 = standard error of measurement at time point 1

  • SEM2​ = standard error of measurement at time point 2

The standard error of measurement is derived from the 95% confidence interval of the test score exported from VTS Online

image-20260310-132913.png

where lower and upper bound of the 95% confidence interval are Z values, irrespective of the norm-referenced score type chosen by the user, which is only used to display the absolute norm-referenced score differences.

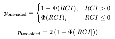
The selected confidence level and hypothesis type (one or two-sided) determine only the significance threshold pcrit for visualization:

image-20260310-134151.png

Changes are classified as significant if p < pcrit​ and not significant if p pcrit​ This affects only the color of the bar (orange = significant, blue = not significant) and does not change the RCI calculation itself.

The p-value is calculated from the RCI assuming that the RCI follows an approximately standard normal distribution under the null hypothesis of no change:

image-20260310-134502.png