Results - Comparison of persons

On this page you can compare test results of different persons with each other.

You have to select one person in “Settings and information” in order for data to be displayed.

image-20260310-113238.png

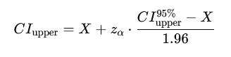
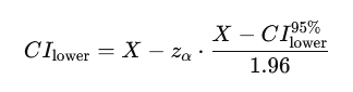
Norm-referenced score confidence interval scaling

The resulting lower and upper bounds of the norm-referenced score confidence interval are then scaled based on value chosen:

Using the formulas

image-20260310-131451.png
image-20260310-131505.png

where

  • X is the observed score at the respective test session in the selected score scale

  • image-20260310-131548.png and image-20260310-131602.png confidence bounds in the selected score scale

  • 1.96 is the critical value for a 95% confidence interval

  • zα is the critical value corresponding to the confidence level selected in VTS Analytics

This means that the width of the exported 95% confidence interval is proportionally adjusted to match the selected confidence level.