Ergebnisse - Vergleich von Personen

Auf dieser Seite können Sie Testergebnisse verschiedener Personen miteinander vergleichen.

Damit Daten angezeigt werden, müssen Sie in “Einstellungen und Information” mindestens eine Person auswählen.

image-20260310-112729.png

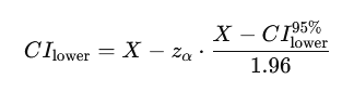
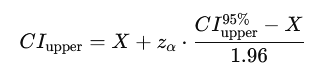
Skalierung des Konfidenzintervalls des Normwerts

Die resultierenden unteren und oberen Grenzen des Konfidenzintervalls des Normwerts werden anschließend auf Basis des gewählten zα-Werts skaliert.

Unter Verwendung der Formeln

image-20260310-131451.png
image-20260310-131505.png

wobei

  • X der beobachtete Wert im jeweiligen Testdurchgang (Index) in der ausgewählten Werteskala ist

  • image-20260310-131548.png und image-20260310-131602.png die untere und obere Konfidenzgrenze in der ausgewählten Werteskala darstellen

  • 1.96 der kritische Wert für ein 95%-Konfidenzintervall ist

  • zα der kritische Wert ist, der dem in WTS Analytics ausgewählten Konfidenzniveau entspricht

Das bedeutet, dass die Breite des exportierten 95%-Konfidenzintervalls proportional angepasst wird, damit sie dem ausgewählten Konfidenzniveau entspricht.