Ergebnisse - Vergleich über Zeit

Auf dieser Seite vergleichen Sie die Testergebnisse derselben Testperson über die Zeit zu unterschiedlichen Messzeitpunkten. Die Konfidenzintervalle basieren auf der Testreliabilität (siehe auch Ergebnisse - Vergleich von Personen)

Damit Daten angezeigt werden, müssen Sie in “Einstellungen und Information” eine Person mit zwei Testdurchgängen auswählen.

image-20260310-112830.png

Wenn Sie auf “Normwertdifferenzen (RCI) anzeigen” klicken, werden Sie zu einer Seite weitergeleitet, auf der Sie die jeweiligen Differenzen der Werte betrachten können, die auf der vorherigen Seite angezeigt wurden. Die Berechnungen werden im Folgenden beschrieben.

image-20260310-112949.png

Berechnung des Index zuverlässiger Veränderung (RCI)

Der Index zuverlässiger Veränderung (RCI) wird verwendet, um festzustellen, ob die Veränderung des Testwerts einer Person zwischen zwei Testdurchgängen das Ausmaß übersteigt, das aufgrund von Messfehlern zu erwarten wäre.

image-20260310-132737.png

wobei

  • Z1​ = standardisierter Wert (Z-Wert) zum Zeitpunkt 1

  • Z2​ = standardisierter Wert (Z-Wert) zum Zeitpunkt 2

  • SEM1 = Standardmessfehler zum Zeitpunkt 1

  • SEM2​ = Standardmessfehler zum Zeitpunkt 2

Der Standardmessfehler wird aus dem 95%-Konfidenzintervall des aus WTS Online exportierten Testwerts abgeleitet

image-20260310-132913.png

Dabei sind die untere und obere Grenze des 95%-Konfidenzintervalls Z-Werte, unabhängig von der von der Benutzerin bzw. vom Benutzer gewählten Art des Normwerts, die nur zur Anzeige der absoluten Normwertdifferenzen verwendet wird.

Das ausgewählte Konfidenzniveau und die Art der Hypothese (ein- oder zweiseitig) bestimmen ausschließlich die Signifikanzschwelle pcrit für die Visualisierung.

image-20260310-134151.png

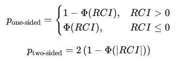
Veränderungen werden als signifikant klassifiziert, wenn p < pcrit gilt, und als nicht signifikant, wenn p ≥ pcrit gilt. Dies beeinflusst nur die Farbe des Balkens (orange = signifikant, blau = nicht signifikant) und verändert die Berechnung des Index zuverlässiger Veränderung (RCI) selbst nicht.

Der p-Wert wird aus dem Index zuverlässiger Veränderung (RCI) berechnet, unter der Annahme, dass der Index zuverlässiger Veränderung (RCI) unter der Nullhypothese keiner Veränderung näherungsweise einer Standardnormalverteilung folgt:

image-20260310-134502.png